RS Aggarwal Solutions Class 9 Chapter 15 Volume and Surface Area of Solids
RS Aggarwal Solutions for Class 9 Maths Book Chapter 15 Volume and Surface Area of Solids are available here. Study path has prepared solutions of all the exercises of the chapter by our expert math teachers to help you to get good marks in exams. This lesson has a ton of questions that are very important from the examination point of view.
We at Study Path solved each questions step by step with detailed explanations. Students must practice from practice these problems to score high marks in Maths. Below we have listed the Class 9 RS Aggarwal Solutions Chapter 15 Volume and Surface Area of Solids Exercise 15A, Ex 15B, Ex 15C, Ex 15D and Multiple Choice Questions (MCQs).
Class 9 RS Aggarwal Solutions Chapter 15 Volume and Surface Area of Solids
Class 9 RS Aggarwal Solutions Chapter 15 Ex 15A
















Class 9 RS Aggarwal Solutions Chapter 15 Ex 15B























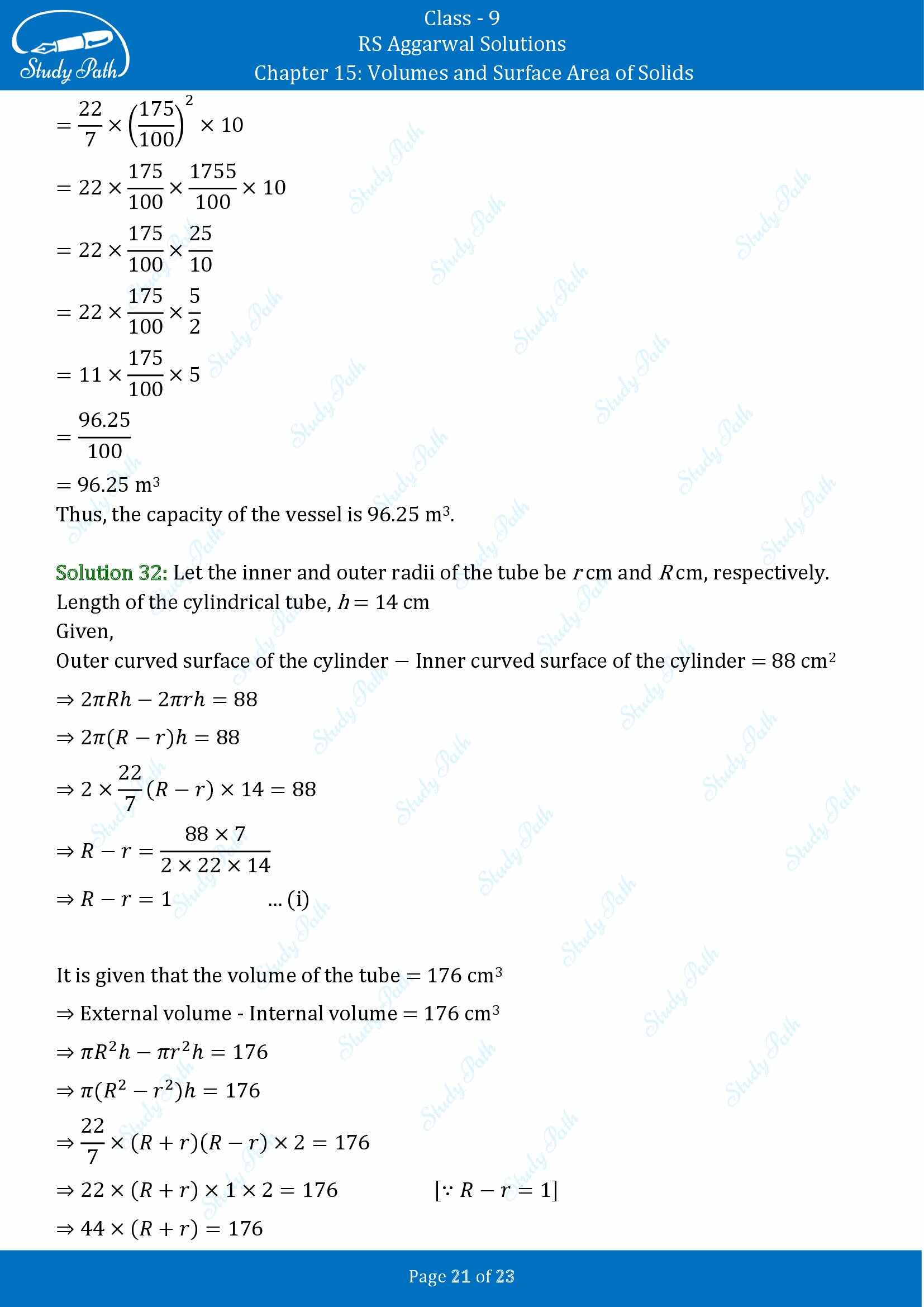
Class 9 RS Aggarwal Solutions Chapter 15 Ex 15C















Class 9 RS Aggarwal Solutions Chapter 15 Ex 15D
















Class 9 RS Aggarwal Solutions Chapter 15 MCQs


























