This page provides complete NCERT Solutions for Class 8 Maths Ganita Prakash Part 1 Chapter 1 A Square and A Cube. These solutions are based on the latest NCERT textbook and CBSE syllabus. This chapter introduces square numbers, cube numbers, square roots, and cube roots. Students explore patterns in squares and cubes, learn properties of square numbers, and understand how to find square roots and cube roots. The chapter connects numerical patterns with geometric shapes such as squares and cubes.
NCERT Solutions for Class 8 Maths Ganita Prakash Part 1 Chapter 1 A Square and A Cube

















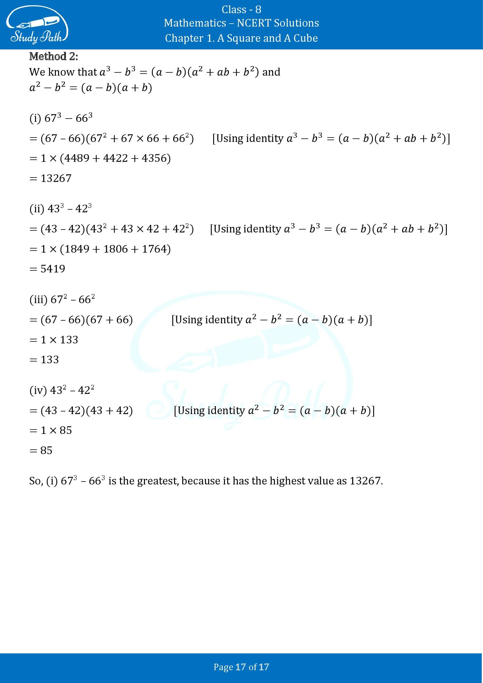
A Square and A Cube Class 8 Maths Ganita Prakash Chapter 1 Questions Answers
This chapter explains how numbers can be represented as squares and cubes. Students learn to identify perfect squares and perfect cubes, observe patterns, and find square roots and cube roots. The chapter also explores relationships between numbers and geometric shapes like square grids and cubes.
Topics Covered in the chapter
- Square numbers
- Perfect squares
- Patterns in square numbers
- Square roots
- Cube numbers
- Perfect cubes
- Cube roots
- Geometric interpretation of squares and cubes
- Patterns in square and cube numbers
Why These NCERT Solutions Are Helpful
- Step-by-step explanations
- Easy-to-understand language
- Covers all exercises
- Helps in exam preparation
- Useful for revision
Class 8 Maths Chapter 1 A Square and A Cube helps students understand square and cube numbers along with their roots. The chapter builds strong foundations in number patterns, geometry, and logical reasoning.