NCERT Solutions for Class 10 Maths Chapter 13 Statistics Exercise 13.1 are given here. There are several questions in this exercise. Our subject expert teachers have solved each of these questions in a step by step manner. All these solutions are beneficial for the students of class 10 appearing for the board exams. Students can easily NCERT Solutions for Class 10 Maths Exercise 13.1 from below.
CBSE Class 10 Maths Chapter 13 Statistics Exercise 13.1 Solutions











Topics Discussed in Chapter 13 Statistics Ex 13.1
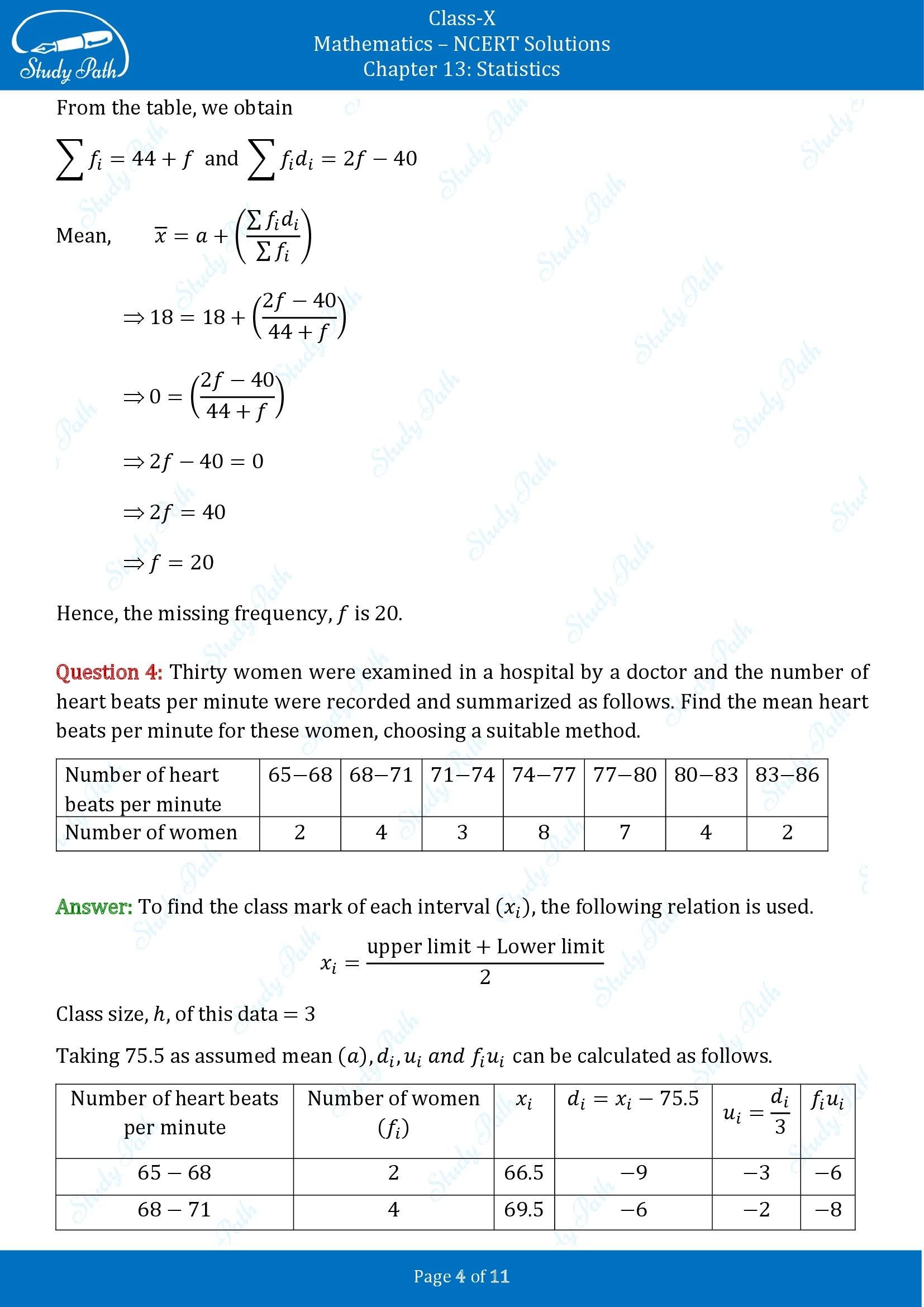
In NCERT Solutions for Class 10 Maths Chapter 13 Exercise 13.1, we have discussed how to calculate the mean of grouped data. Other important topics related to chapter are covered in the following exercises.