RD Sharma Solutions Class 10 Chapter 9 Exercise 9.1 Trigonometric Ratios are available here. All these solutions are prepared from the latest edition RD Sharma books. Solving and practising solutions from Study path will clear your doubts and gain you confidence for the exams. Ultimately, our solutions will help you to score excellent marks in the exams. You can download RD Sharma Solutions for Class 10 Maths Chapter 9 Ex 9.1 PDF from our android app for offline use.
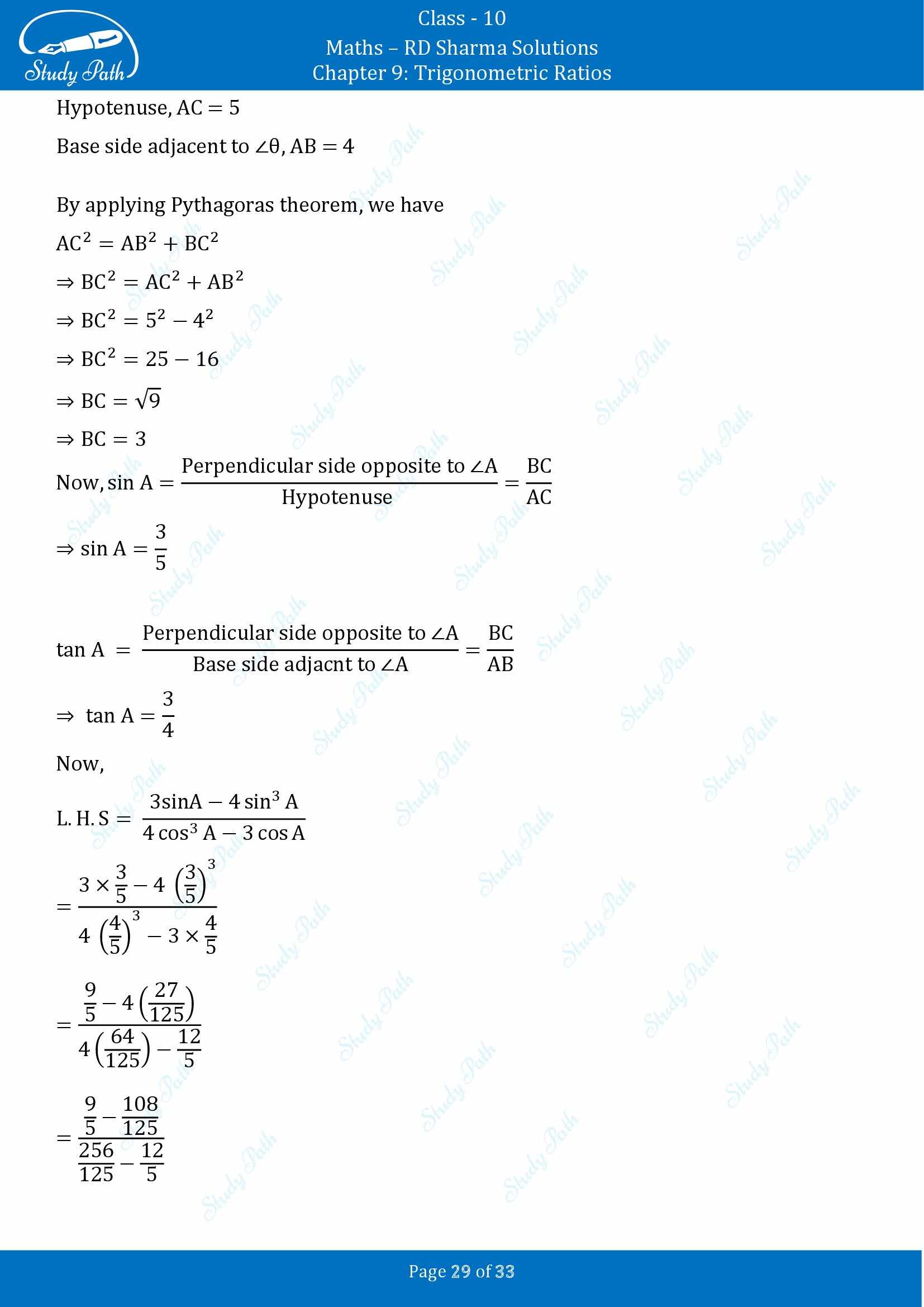
Class 10 RD Sharma Solutions Chapter 9 Ex 9.1
































