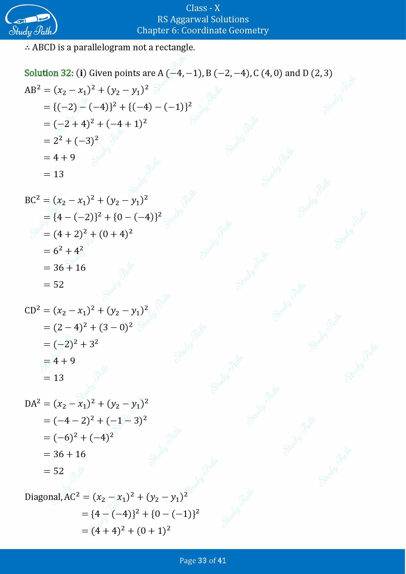
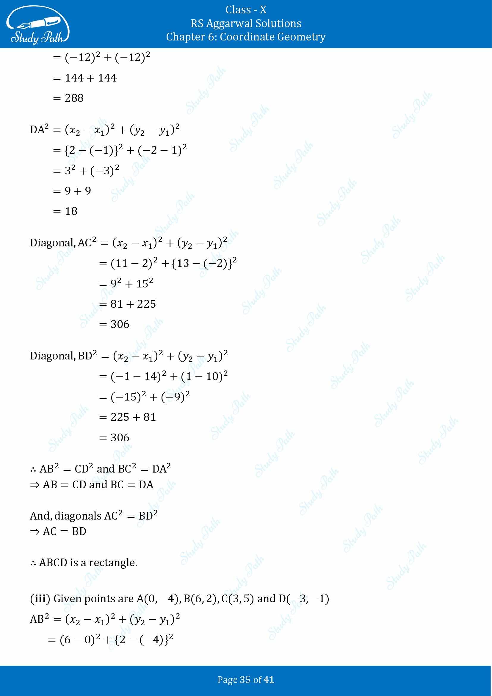
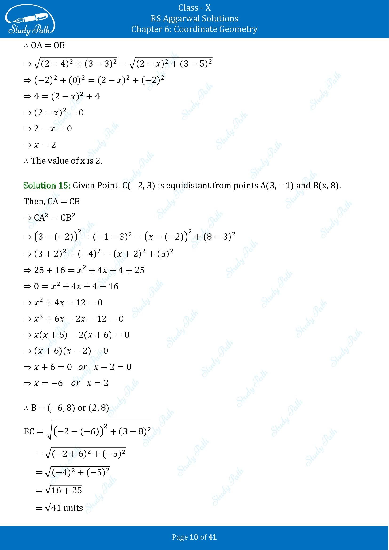
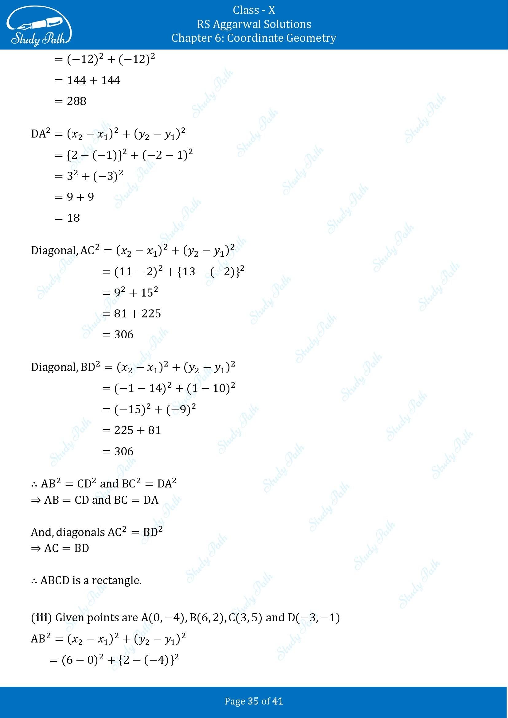
RS Aggarwal Solutions for Class 10 Chapter 6 Coordinate Geometry Exercise 6A are provided here. These solutions are solved step-by-step by expert teachers to help the students in their exam preparation. We have solved the questions provided in latest edition of RS Aggarwal Class 10 book as it contains relevant questions framed as per the CBSE syllabus. Practicing these questions and answers regularly will help students build a strong foundation and achieve excellent marks in their Class 10 board exams.
Class 10 RS Aggarwal Solutions Chapter 6 Ex 6A









































RS Aggarwal Class 10 Maths Chapter 6 Exercise Solutions
Below are the links to access the solutions of other exercises of the chapter.