NCERT Solutions for Class 10 Maths Chapter 13 Statistics
NCERT Solutions Class 10 Maths Chapter 13 Statistics are provided here to help the students of CBSE class 10. Our expert teachers prepared all these solutions as per the latest CBSE syllabus and guidelines. In this chapter, we have discussed the concepts of various graphs such as bar graphs, histograms and frequency polygons.We also discuss the concept of cumulative frequency, the cumulative frequency distribution. CBSE Class 10 Maths solutions provide a detailed and step-wise explanation of each answer to the questions given in the exercises of NCERT books.
CBSE Class 10 Maths Chapter 13 Statistics Solutions
Below we have given the answers to all the questions present in 13 Statistics in our NCERT Solutions for Class 10 Maths chapter 13. In this lesson, students are introduced to a lot of important concepts that will be useful for those who wish to pursue mathematics as a subject in their future classes. Based on these solutions, students can prepare for their upcoming Board Exams. These solutions are helpful as the syllabus covered here follows NCERT guidelines.
NCERT Solutions for Class 10 Maths Chapter 13 Exercise 13.1











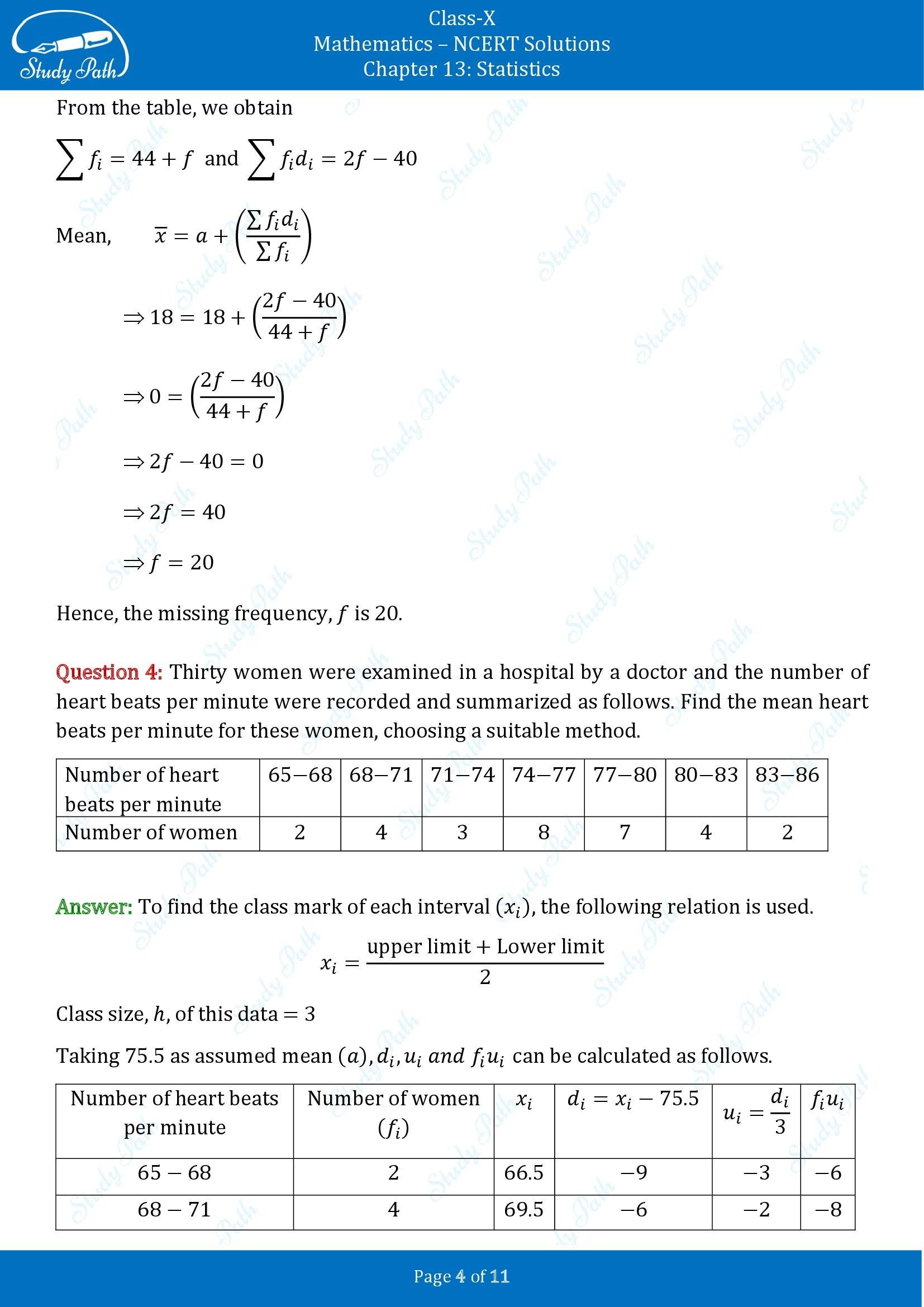
NCERT Solutions for Class 10 Maths Chapter 13 Exercise 13.2









NCERT Solutions for Class 10 Maths Chapter 13 Exercise 13.3












