Class 7 Maths Chapter 4 Expressions Using Letter Numbers NCERT Solutions | Ganita Prakash

This page provides complete NCERT Solutions for Class 7 Maths Ganita Prakash Part 1 Chapter 4 Expressions Using Letter-Numbers. This chapter introduces algebraic expressions and the use of letters to represent numbers. Students learn how mathematical relationships can be written in a concise form using variables, simplifying expressions, and identifying patterns. This chapter forms the foundation for algebra and helps in understanding mathematical formulas and general rules

NCERT Solutions for Class 7 Maths Part 1 Chapter 4 Expressions Using Letter Numbers

NCERT Solutions for Class 7 Maths Ganit Prakash Part 1 Chapter 4 Expressions using Letter Numbers 00001
NCERT Solutions for Class 7 Maths Ganit Prakash Part 1 Chapter 4 Expressions using Letter Numbers 00002
NCERT Solutions for Class 7 Maths Ganit Prakash Part 1 Chapter 4 Expressions using Letter Numbers 00003
NCERT Solutions for Class 7 Maths Ganit Prakash Part 1 Chapter 4 Expressions using Letter Numbers 00004
NCERT Solutions for Class 7 Maths Ganit Prakash Part 1 Chapter 4 Expressions using Letter Numbers 00005
NCERT Solutions for Class 7 Maths Ganit Prakash Part 1 Chapter 4 Expressions using Letter Numbers 00006
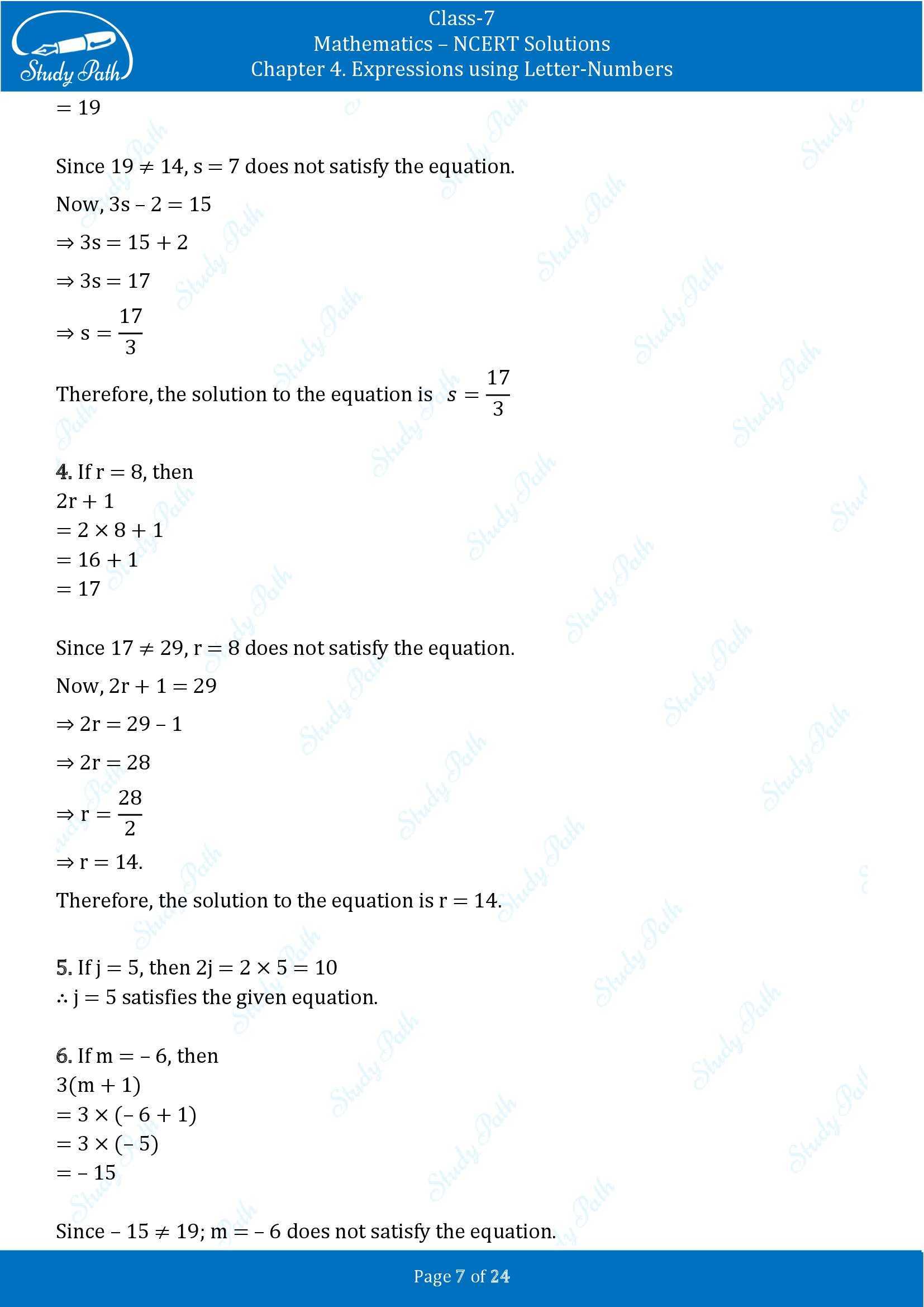
NCERT Solutions for Class 7 Maths Ganit Prakash Part 1 Chapter 4 Expressions using Letter Numbers 00007
NCERT Solutions for Class 7 Maths Ganit Prakash Part 1 Chapter 4 Expressions using Letter Numbers 00008
NCERT Solutions for Class 7 Maths Ganit Prakash Part 1 Chapter 4 Expressions using Letter Numbers 00009
NCERT Solutions for Class 7 Maths Ganit Prakash Part 1 Chapter 4 Expressions using Letter Numbers 00010
NCERT Solutions for Class 7 Maths Ganit Prakash Part 1 Chapter 4 Expressions using Letter Numbers 00011
NCERT Solutions for Class 7 Maths Ganit Prakash Part 1 Chapter 4 Expressions using Letter Numbers 00012
NCERT Solutions for Class 7 Maths Ganit Prakash Part 1 Chapter 4 Expressions using Letter Numbers 00013
NCERT Solutions for Class 7 Maths Ganit Prakash Part 1 Chapter 4 Expressions using Letter Numbers 00014
NCERT Solutions for Class 7 Maths Ganit Prakash Part 1 Chapter 4 Expressions using Letter Numbers 00015
NCERT Solutions for Class 7 Maths Ganit Prakash Part 1 Chapter 4 Expressions using Letter Numbers 00016
NCERT Solutions for Class 7 Maths Ganit Prakash Part 1 Chapter 4 Expressions using Letter Numbers 00017
NCERT Solutions for Class 7 Maths Ganit Prakash Part 1 Chapter 4 Expressions using Letter Numbers 00018
NCERT Solutions for Class 7 Maths Ganit Prakash Part 1 Chapter 4 Expressions using Letter Numbers 00019
NCERT Solutions for Class 7 Maths Ganit Prakash Part 1 Chapter 4 Expressions using Letter Numbers 00020
NCERT Solutions for Class 7 Maths Ganit Prakash Part 1 Chapter 4 Expressions using Letter Numbers 00021
NCERT Solutions for Class 7 Maths Ganit Prakash Part 1 Chapter 4 Expressions using Letter Numbers 00022
NCERT Solutions for Class 7 Maths Ganit Prakash Part 1 Chapter 4 Expressions using Letter Numbers 00023
NCERT Solutions for Class 7 Maths Ganit Prakash Part 1 Chapter 4 Expressions using Letter Numbers 00024

Expressions Using Letter-Numbers – Chapter Overview

The chapter explains that letters such as a, x, y, m can represent numbers and are called letter-numbers. Expressions formed using these letters are called algebraic expressions. Students learn to write relationships, simplify expressions, and use algebra to describe patterns and solve problems.

Topics Covered in the Chapter Expressions Using Letter-Numbers

  • Letter-numbers and variables
  • Writing algebraic expressions
  • Evaluating expressions
  • Revisiting arithmetic expressions
  • Omission of multiplication symbol
  • Simplification of algebraic expressions
  • Like and unlike terms
  • Using algebra to describe patterns
  • Matchstick and number patterns
  • Real-life applications of algebra

Why These NCERT Solutions Are Helpful

  • Based on latest NCERT Ganita Prakash
  • Covers all exercises and Figure It Out
  • Easy to understand structure
  • Helpful for exams and homework
  • Improves problem-solving skills

Class 7 Maths Chapter 4 Expressions Using Letter-Numbers introduces algebraic thinking. Understanding this chapter helps students recognize patterns, simplify expressions, and solve mathematical problems using variables.

Leave a Comment

Your email address will not be published. Required fields are marked *