NCERT Solutions for Class 8 Maths Chapter 10 Exponents and Powers Exercise 10.1 are given here. There are several questions in this exercise. Our subject expert teachers have solved each of these questions step by step. The answers to the questions given here are based on the latest edition of the NCERT book of class 8. All these solutions are beneficial for the students who want to sharpen their maths skills. Students can easily access NCERT Solutions for Class 8 Maths Chapter 10 Ex 10.1 from below.
NCERT Class 8 Maths Chapter 10 Exponents and Powers Ex 10.1 Solutions






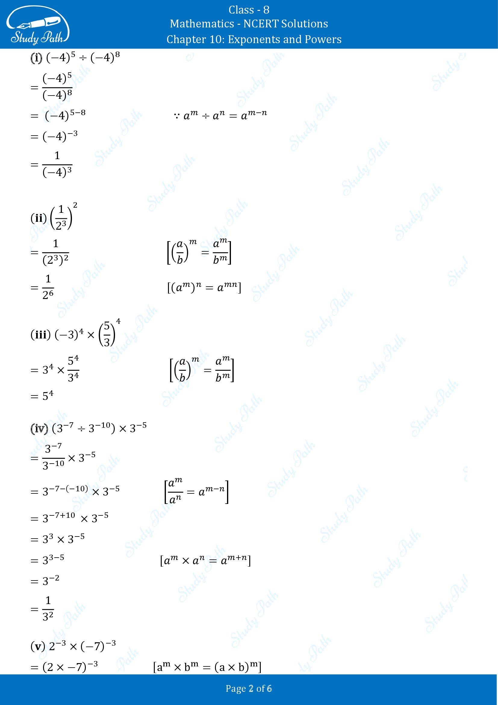
CBSE Class 8 Maths Chapter 10 Exercise 10.1 Questions and Answers
We hope you have found our solutions helpful and beneficial. If you need any help or found any error please contact us at info@thestudypath.com. Below we have provided the links to the solutions of other exercises of the chapter. Also, check those solutions out and keep practising to excel in your upcoming exam.